Официальное опубликование правовых актов
ОФИЦИАЛЬНОЕ ОПУБЛИКОВАНИЕ
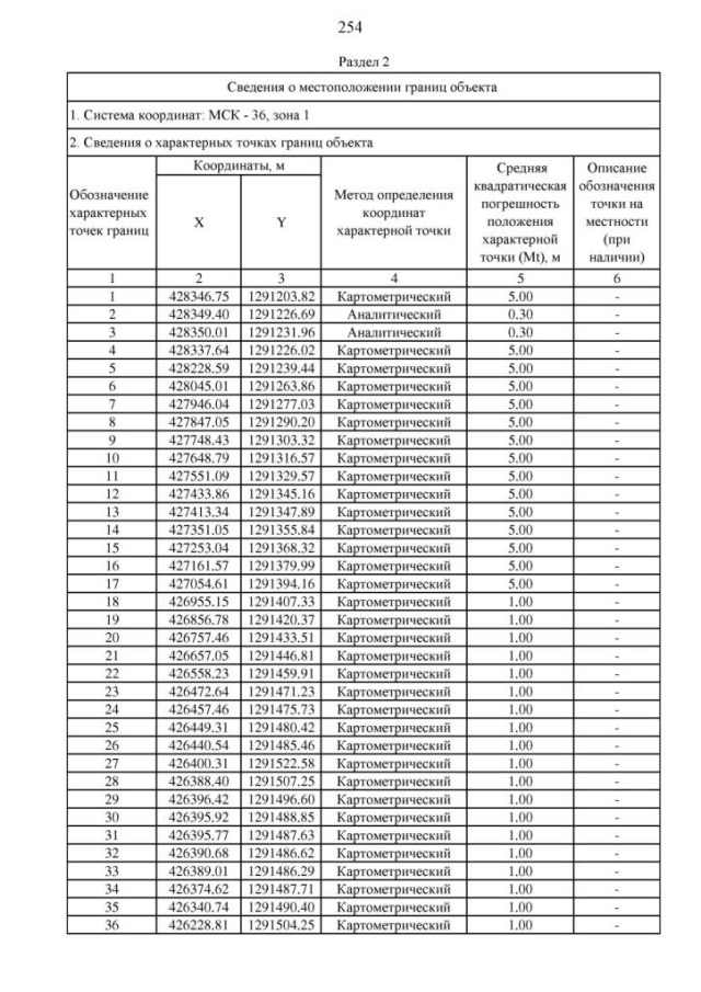
Приказ Департамента архитектуры и градостроительства Воронежской области от 01.02.2023 № 45-01-04/60
"Об утверждении правил землепользования и застройки городского поселения – город Острогожск Острогожского муниципального района Воронежской области"
(Зарегистрирован 17.02.2023 № 130)
Номер опубликования: 3601202302210001
Дата опубликования: 21.02.2023
Страница №352 из 683:
Увеличить