Официальное опубликование правовых актов
ОФИЦИАЛЬНОЕ ОПУБЛИКОВАНИЕ
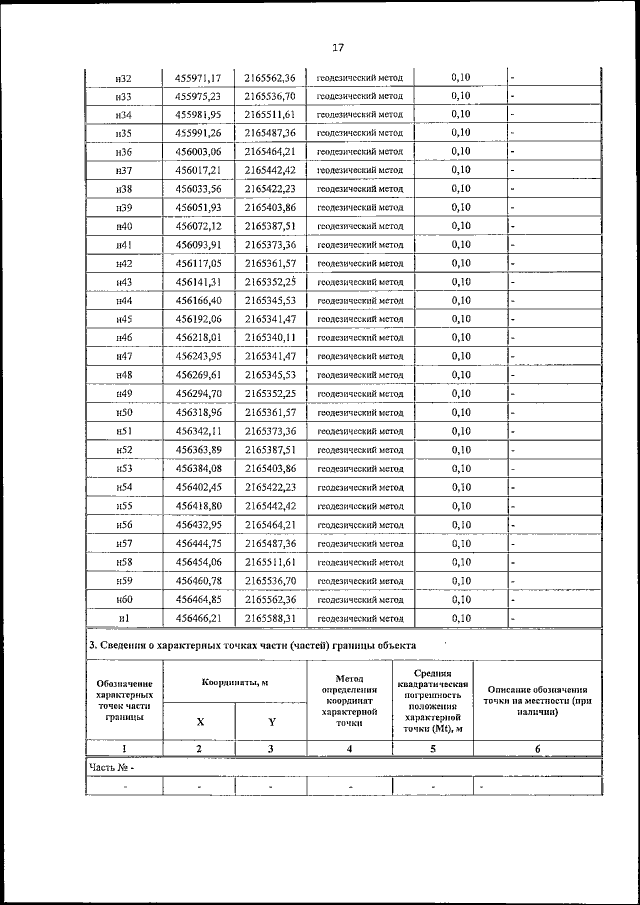
Приказ департамента природных ресурсов и экологии Воронежской области от 01.02.2023 № 49
"Об установлении зон санитарной охраны одной существующей скважины № б/н для питьевого, хозяйственно-бытового водоснабжения ГБПОУ ВО "ХЛК им. Г.Ф.Морозова"
(Зарегистрирован 15.02.2023 № 115)
Номер опубликования: 3601202302200005
Дата опубликования: 20.02.2023
Страница №19 из 21:
Увеличить