Официальное опубликование правовых актов
ОФИЦИАЛЬНОЕ ОПУБЛИКОВАНИЕ
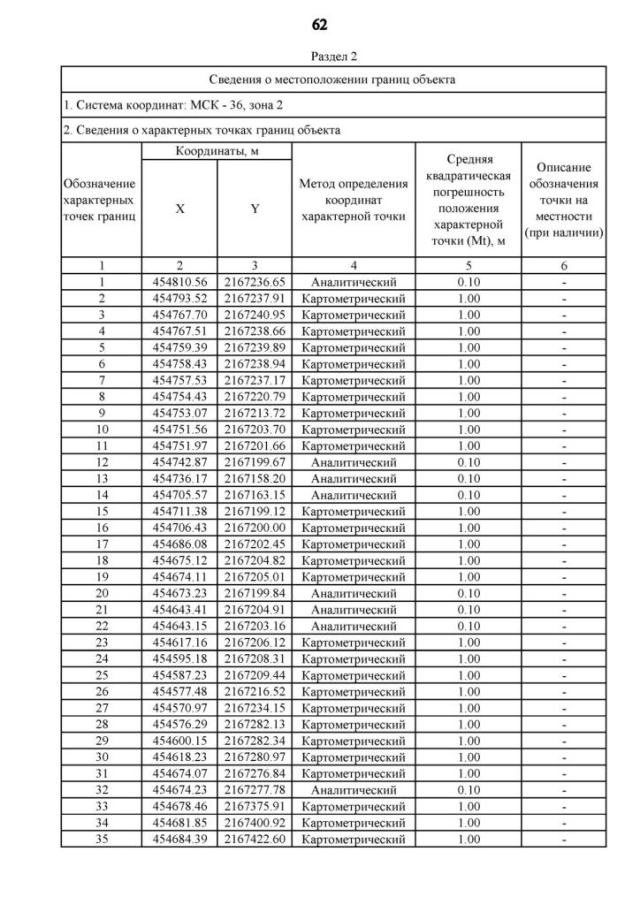
Приказ Департамента архитектуры и градостроительства Воронежской области от 25.01.2023 № 45-01-04/50
"Об утверждении правил землепользования и застройки Слободского сельского поселения Бобровского муниципального района Воронежской области"
(Зарегистрирован 10.02.2023 № 109)
Номер опубликования: 3601202302140003
Дата опубликования: 14.02.2023
Страница №110 из 207:
Увеличить