Официальное опубликование правовых актов
ОФИЦИАЛЬНОЕ ОПУБЛИКОВАНИЕ
Приказ департамента природных ресурсов и экологии Воронежской области от 25.01.2023 № 40
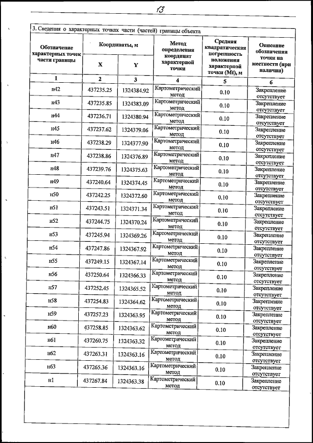
"Об установлении зон санитарной охраны эксплуатационной скважины № 28467 для питьевого, хозяйственно-бытового и технологического водоснабжения АО "ХЛЕБНАЯ БАЗА № 8"
(Зарегистрирован 07.02.2023 № 90)
Номер опубликования: 3601202302090009
Дата опубликования: 09.02.2023
Страница №15 из 23:
Увеличить