Официальное опубликование правовых актов
ОФИЦИАЛЬНОЕ ОПУБЛИКОВАНИЕ
Приказ Департамента архитектуры и градостроительства Воронежской области от 25.01.2023 № 45-01-04/47
"О внесении изменений в правила землепользования и застройки Бутырского сельского поселения Репьёвского муниципального района Воронежской области"
(Зарегистрирован 03.02.2023 № 82)
Номер опубликования: 3601202302090003
Дата опубликования: 09.02.2023
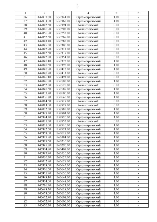
Страница №14 из 37:
Увеличить