Официальное опубликование правовых актов
ОФИЦИАЛЬНОЕ ОПУБЛИКОВАНИЕ
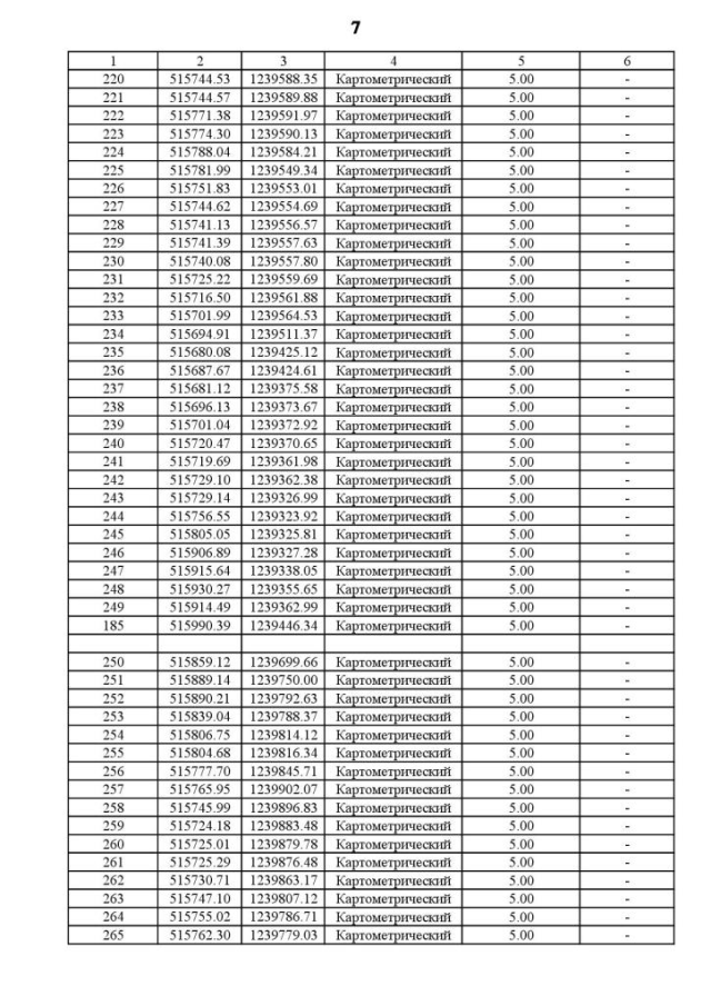
Приказ Департамента архитектуры и градостроительства Воронежской области от 24.01.2023 № 45-01-04/41
"О внесении изменений в правила землепользования и застройки Новоольшанского сельского поселения Нижнедевицкого муниципального района Воронежской области"
(Зарегистрирован 01.02.2023 № 59)
Номер опубликования: 3601202302060008
Дата опубликования: 06.02.2023
Страница №43 из 57:
Увеличить