Официальное опубликование правовых актов
ОФИЦИАЛЬНОЕ ОПУБЛИКОВАНИЕ
Приказ Департамента архитектуры и градостроительства Воронежской области от 24.01.2023 № 45-01-04/39
"Об утверждении правил землепользования и застройки Березняговского сельского поселения Петропавловского муниципального района Воронежской области"
(Зарегистрирован 01.02.2023 № 56)
Номер опубликования: 3601202302060004
Дата опубликования: 06.02.2023
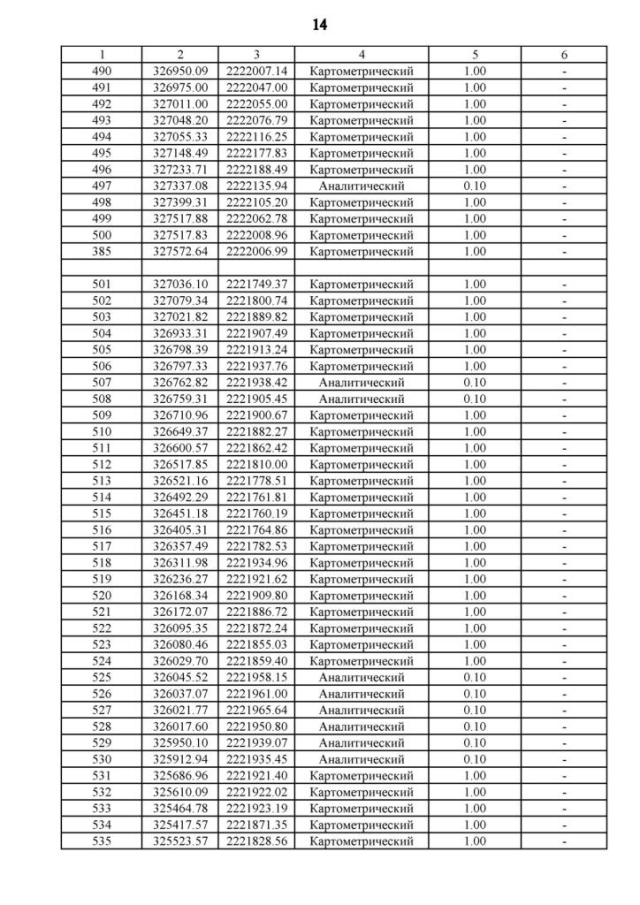
Страница №52 из 131:
Увеличить