Официальное опубликование правовых актов
ОФИЦИАЛЬНОЕ ОПУБЛИКОВАНИЕ
Приказ Департамента архитектуры и градостроительства Воронежской области от 20.01.2023 № 45-01-04/18
"Об утверждении правил землепользования и застройки Верхнемамонского сельского поселения Верхнемамонского муниципального района Воронежской области"
(Зарегистрирован 01.02.2023 № 57)
Номер опубликования: 3601202302060003
Дата опубликования: 06.02.2023
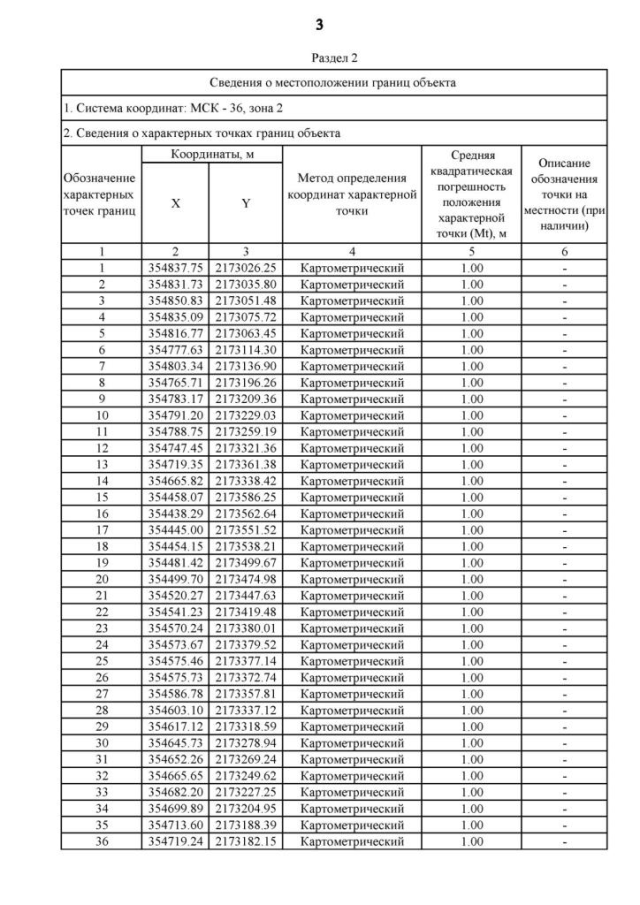
Страница №243 из 322:
Увеличить