Официальное опубликование правовых актов
ОФИЦИАЛЬНОЕ ОПУБЛИКОВАНИЕ
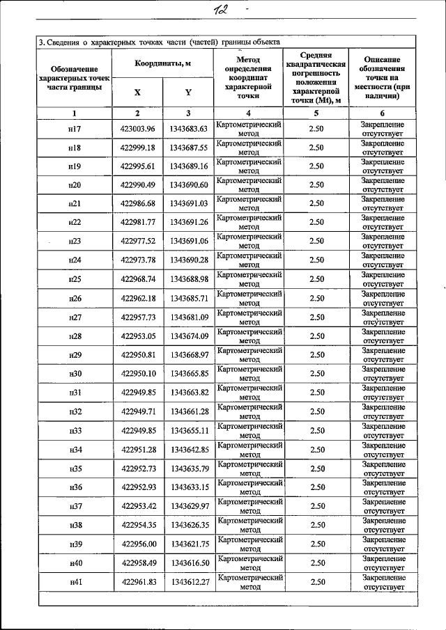
Приказ департамента природных ресурсов и экологии Воронежской области от 23.01.2023 № 38
"Об установлении зон санитарной охраны двух действующих скважин №№ 10621, 10481 для питьевого, хозяйственно-бытового и технологического водоснабжения МТФ "Колыбелка" ООО "ЭкоНиваАгро"
(Зарегистрирован 01.02.2023 № 64)
Номер опубликования: 3601202302060002
Дата опубликования: 06.02.2023
Страница №14 из 22:
Увеличить