Приказ департамента природных ресурсов и экологии Воронежской области от 23.01.2023 № 37
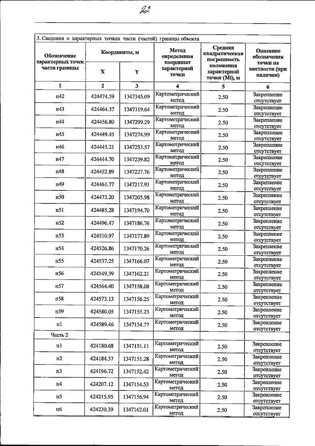
"Об установлении зон санитарной охраны двух действующих скважин №№ 10165, 10312 для питьевого, хозяйственно-бытового и технологического водоснабжения МТФ "Петропавловка" ООО "ЭкоНиваАгро"
(Зарегистрирован 01.02.2023 № 63)
"Об установлении зон санитарной охраны двух действующих скважин №№ 10165, 10312 для питьевого, хозяйственно-бытового и технологического водоснабжения МТФ "Петропавловка" ООО "ЭкоНиваАгро"
(Зарегистрирован 01.02.2023 № 63)
Номер опубликования: 3601202302060001
Дата опубликования:
06.02.2023
