Официальное опубликование правовых актов
ОФИЦИАЛЬНОЕ ОПУБЛИКОВАНИЕ
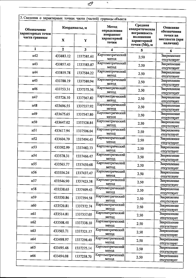
Приказ департамента природных ресурсов и экологии Воронежской области от 23.01.2023 № 33
"Об установлении зон санитарной охраны двух действующих скважин №№ 10559, 9484 для питьевого, хозяйственно-бытового и технологического водоснабжения МТФ "Щучье" ООО "ЭкоНиваАгро"
(Зарегистрирован 01.02.2023 № 48)
Номер опубликования: 3601202302030002
Дата опубликования: 03.02.2023
Страница №21 из 25:
Увеличить