Приказ департамента природных ресурсов и экологии Воронежской области от 23.01.2023 № 33
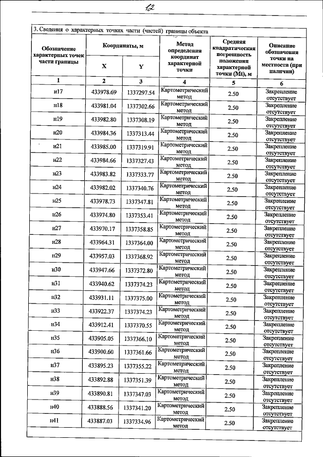
"Об установлении зон санитарной охраны двух действующих скважин №№ 10559, 9484 для питьевого, хозяйственно-бытового и технологического водоснабжения МТФ "Щучье" ООО "ЭкоНиваАгро"
(Зарегистрирован 01.02.2023 № 48)
"Об установлении зон санитарной охраны двух действующих скважин №№ 10559, 9484 для питьевого, хозяйственно-бытового и технологического водоснабжения МТФ "Щучье" ООО "ЭкоНиваАгро"
(Зарегистрирован 01.02.2023 № 48)
Номер опубликования: 3601202302030002
Дата опубликования:
03.02.2023
