Официальное опубликование правовых актов
ОФИЦИАЛЬНОЕ ОПУБЛИКОВАНИЕ
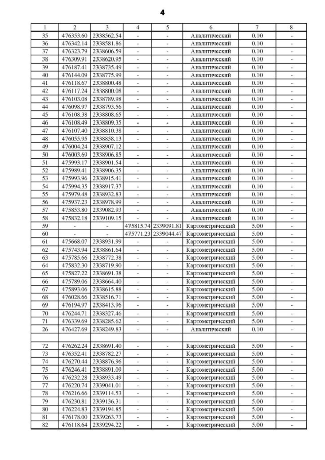
Приказ Департамента архитектуры и градостроительства Воронежской области от 20.01.2023 № 45-01-04/25
"О внесении изменений в правила землепользования и застройки Байчуровского сельского поселения Поворинского муниципального района Воронежской области"
(Зарегистрирован 27.01.2023 № 41)
Номер опубликования: 3601202301310004
Дата опубликования: 31.01.2023
Страница №9 из 19:
Увеличить