Официальное опубликование правовых актов
ОФИЦИАЛЬНОЕ ОПУБЛИКОВАНИЕ
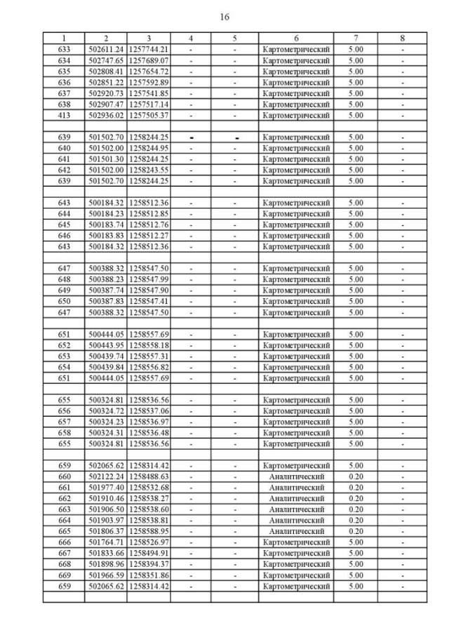
Приказ Департамента архитектуры и градостроительства Воронежской области от 17.01.2023 № 45-01-04/17
"О внесении изменений в правила землепользования и застройки Нижнетуровского сельского поселения Нижнедевицкого муниципального района Воронежской области"
(Зарегистрирован 27.01.2023 № 43)
Номер опубликования: 3601202301310003
Дата опубликования: 31.01.2023
Страница №23 из 56:
Увеличить