Официальное опубликование правовых актов
ОФИЦИАЛЬНОЕ ОПУБЛИКОВАНИЕ
Приказ Департамента архитектуры и градостроительства Воронежской области от 16.01.2023 № 45-01-04/10
"О внесении изменений в правила землепользования и застройки Коломыцевского сельского поселения Лискинского муниципального района Воронежской области"
(Зарегистрирован 25.01.2023 № 31)
Номер опубликования: 3601202301300009
Дата опубликования: 30.01.2023
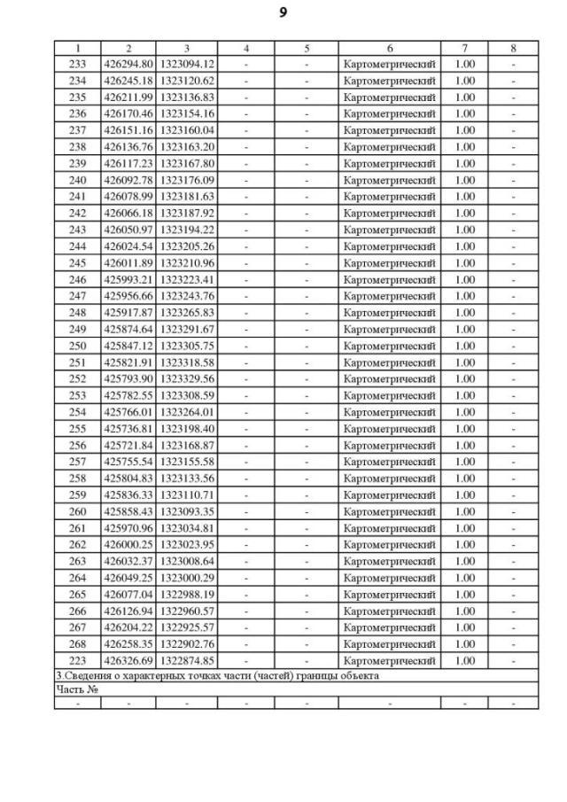
Страница №18 из 24:
Увеличить