Официальное опубликование правовых актов
ОФИЦИАЛЬНОЕ ОПУБЛИКОВАНИЕ
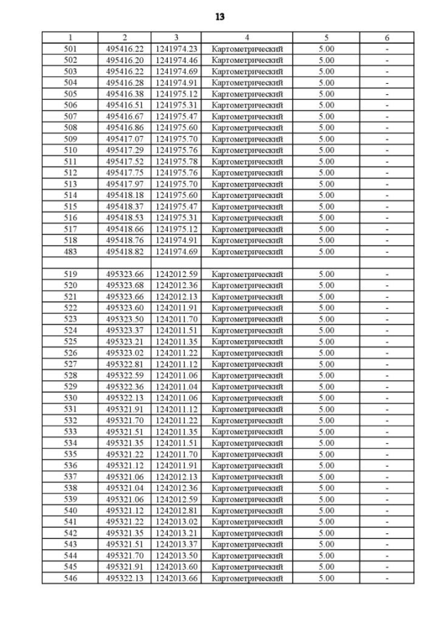
Приказ Департамента архитектуры и градостроительства Воронежской области от 16.01.2023 № 45-01-04/13
"О внесении изменений в правила землепользования и застройки Першинского сельского поселения Нижнедевицкого муниципального района Воронежской области"
(Зарегистрирован 25.01.2023 № 33)
Номер опубликования: 3601202301300008
Дата опубликования: 30.01.2023
Страница №23 из 76:
Увеличить