Официальное опубликование правовых актов
ОФИЦИАЛЬНОЕ ОПУБЛИКОВАНИЕ
Приказ Департамента архитектуры и градостроительства Воронежской области от 16.01.2023 № 45-01-04/16
"О внесении изменений в правила землепользования и застройки Краснознаменского сельского поселения Лискинского муниципального района Воронежской области"
(Зарегистрирован 25.01.2023 № 36)
Номер опубликования: 3601202301300007
Дата опубликования: 30.01.2023
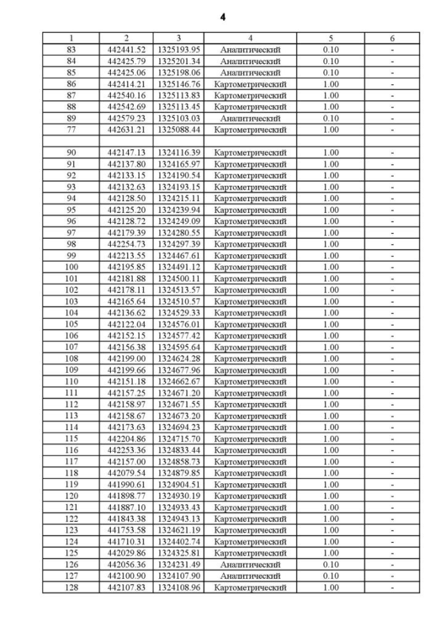
Страница №12 из 36:
Увеличить