Официальное опубликование правовых актов
ОФИЦИАЛЬНОЕ ОПУБЛИКОВАНИЕ
Приказ Департамента архитектуры и градостроительства Воронежской области от 16.01.2023 № 45-01-04/12
"О внесении изменений в правила землепользования и застройки Карпенковского сельского поселения Каменского муниципального района Воронежской области"
(Зарегистрирован 25.01.2023 № 32)
Номер опубликования: 3601202301300006
Дата опубликования: 30.01.2023
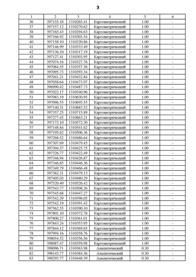
Страница №12 из 32:
Увеличить