Официальное опубликование правовых актов
ОФИЦИАЛЬНОЕ ОПУБЛИКОВАНИЕ
Приказ Департамента архитектуры и градостроительства Воронежской области от 12.01.2023 № 45-01-04/5
"Об утверждении правил землепользования и застройки Девицкого сельского поселения Семилукского муниципального района Воронежской области"
(Зарегистрирован 25.01.2023 № 28)
Номер опубликования: 3601202301300001
Дата опубликования: 30.01.2023
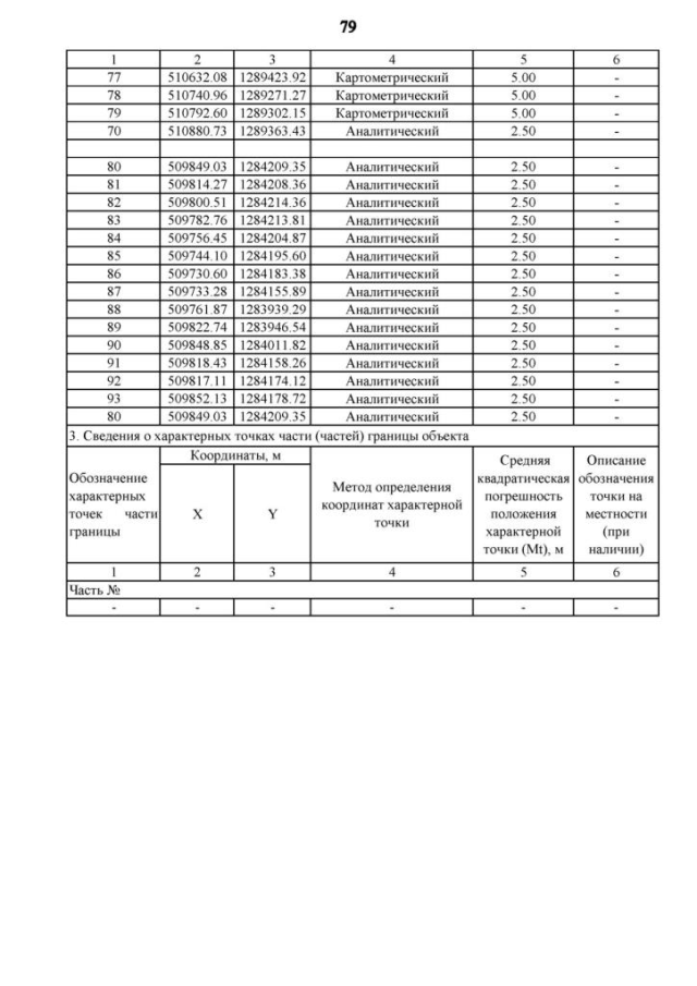
Страница №393 из 465:
Увеличить