Официальное опубликование правовых актов
ОФИЦИАЛЬНОЕ ОПУБЛИКОВАНИЕ
Приказ Департамента архитектуры и градостроительства Воронежской области от 23.12.2022 № 45-01-04/1285
"О внесении изменений в правила землепользования и застройки Скупопотуданского сельского поселения Нижнедевицкого муниципального района Воронежской области"
(Зарегистрирован 18.01.2023 № 2125)
Номер опубликования: 3601202301230005
Дата опубликования: 23.01.2023
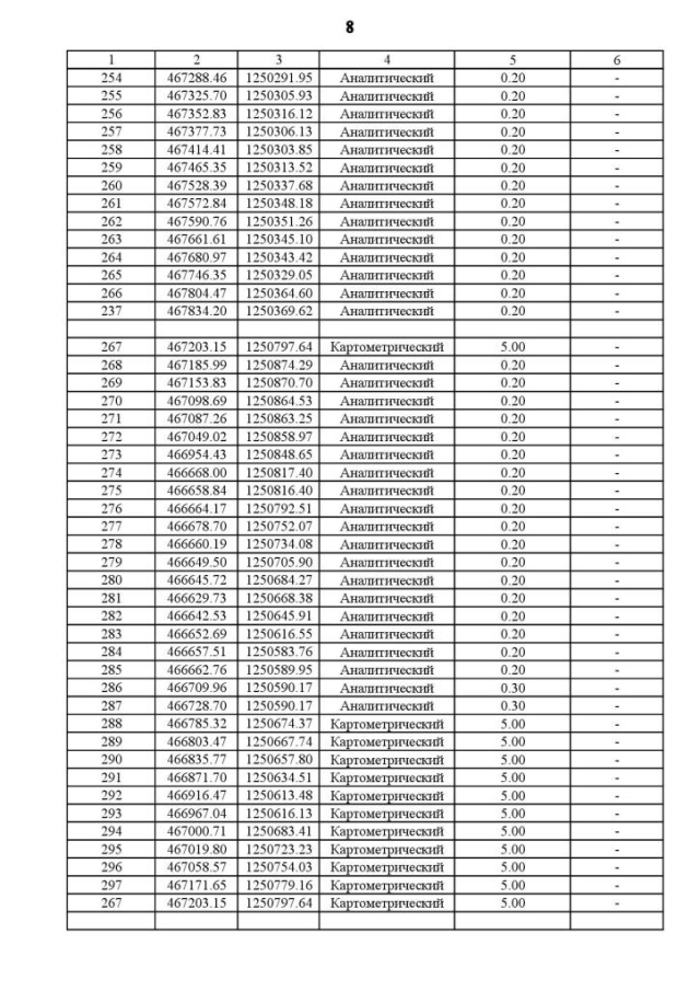
Страница №16 из 70:
Увеличить