Официальное опубликование правовых актов
ОФИЦИАЛЬНОЕ ОПУБЛИКОВАНИЕ
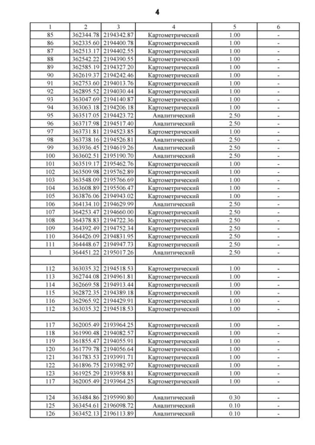
Приказ Департамента архитектуры и градостроительства Воронежской области от 23.12.2022 № 45-01-04/1286
"О внесении изменений в правила землепользования и застройки Хрещатовского сельского поселения Калачеевского муниципального района Воронежской области"
(Зарегистрирован 18.01.2023 № 2128)
Номер опубликования: 3601202301230002
Дата опубликования: 23.01.2023
Страница №46 из 79:
Увеличить