Официальное опубликование правовых актов
ОФИЦИАЛЬНОЕ ОПУБЛИКОВАНИЕ
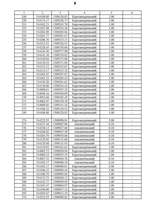
Приказ Департамента архитектуры и градостроительства Воронежской области от 16.01.2023 № 45-01-04/8
"О внесении изменений в правила землепользования и застройки Отрадненского сельского поселения Новоусманского муниципального района Воронежской области"
(Зарегистрирован 20.01.2023 № 10)
Номер опубликования: 3601202301200001
Дата опубликования: 20.01.2023
Страница №50 из 79:
Увеличить