Официальное опубликование правовых актов
ОФИЦИАЛЬНОЕ ОПУБЛИКОВАНИЕ
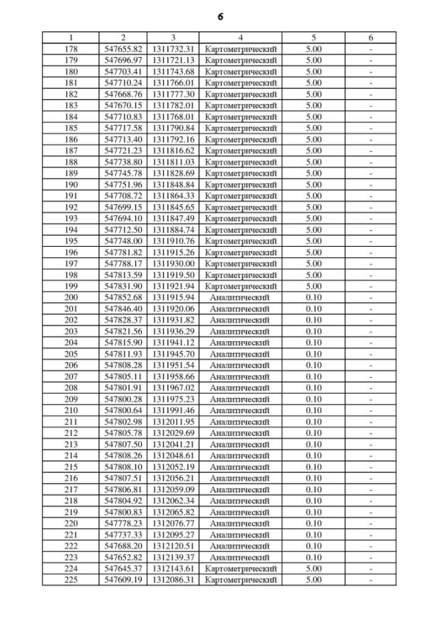
Приказ Департамента архитектуры и градостроительства Воронежской области от 23.12.2022 № 45-01-04/1287
"О внесении изменений в правила землепользования и застройки Ступинского сельского поселения Рамонского муниципального района Воронежской области"
(Зарегистрирован 13.01.2023 № 2119)
Номер опубликования: 3601202301170007
Дата опубликования: 17.01.2023
Страница №18 из 57:
Увеличить