Официальное опубликование правовых актов
ОФИЦИАЛЬНОЕ ОПУБЛИКОВАНИЕ
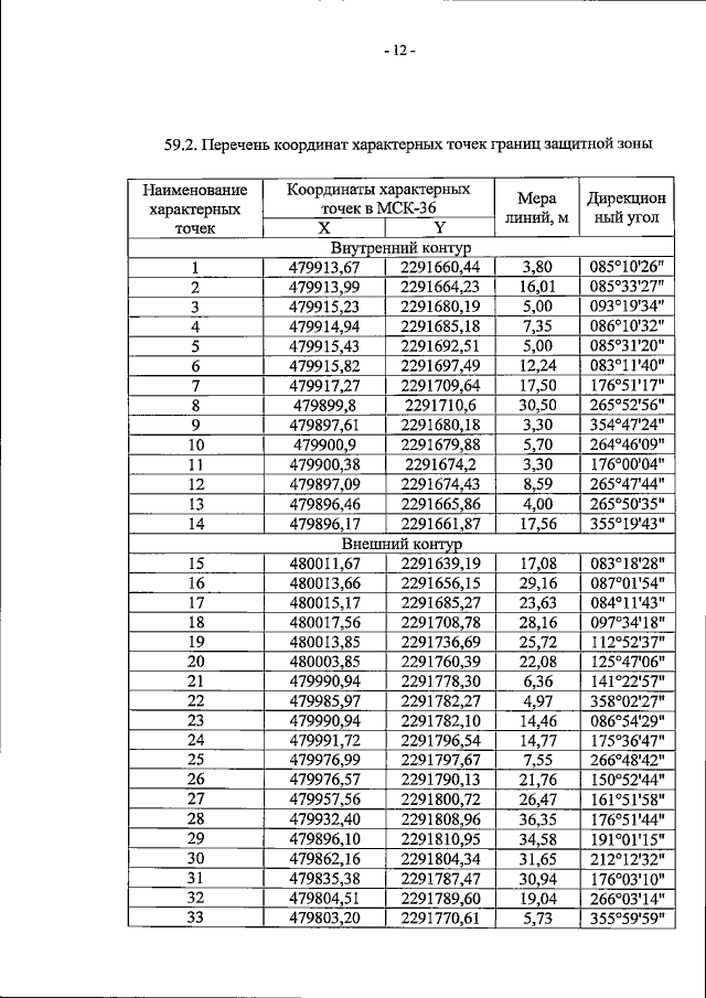
Приказ управления по охране объектов культурного наследия Воронежской области от 08.12.2022 № 71-01-07/511
"О внесении изменений в приказ управления по охране объектов культурного наследия Воронежской области от 29.04.2019 № 71-01-07/115"
(Зарегистрирован 28.12.2022 № 2068)
Номер опубликования: 3601202212300032
Дата опубликования: 30.12.2022
Страница №12 из 29:
Увеличить