Официальное опубликование правовых актов
ОФИЦИАЛЬНОЕ ОПУБЛИКОВАНИЕ
Приказ Департамента архитектуры и градостроительства Воронежской области от 14.12.2022 № 45-01-04/1241
"О внесении изменений в правила землепользования и застройки Шубинского сельского поселения Острогожского муниципального района Воронежской области"
(Зарегистрирован 28.12.2022 № 2079)
Номер опубликования: 3601202212300024
Дата опубликования: 30.12.2022
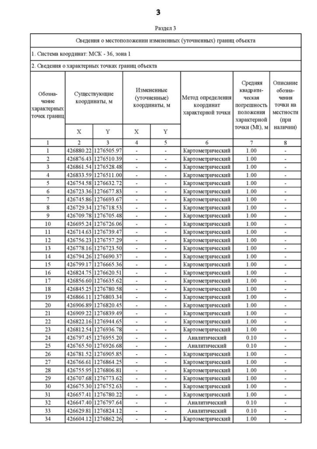
Страница №34 из 36:
Увеличить