Официальное опубликование правовых актов
ОФИЦИАЛЬНОЕ ОПУБЛИКОВАНИЕ
Приказ Департамента архитектуры и градостроительства Воронежской области от 19.12.2022 № 45-01-04/1266
"О внесении изменений в правила землепользования и застройки Алексеевского сельского поселения Грибановского муниципального района Воронежской области"
(Зарегистрирован 28.12.2022 № 2086)
Номер опубликования: 3601202212300022
Дата опубликования: 30.12.2022
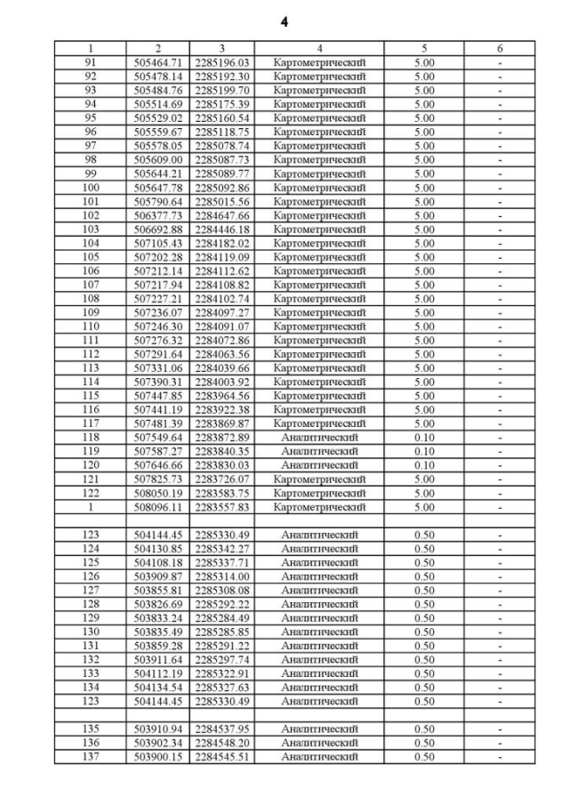
Страница №24 из 30:
Увеличить