Официальное опубликование правовых актов
ОФИЦИАЛЬНОЕ ОПУБЛИКОВАНИЕ
Приказ Департамента архитектуры и градостроительства Воронежской области от 16.12.2022 № 45-01-04/1262
"О внесении изменений в правила землепользования и застройки Аннинского городского поселения Аннинского муниципального района Воронежской области"
(Зарегистрирован 28.12.2022 № 2088)
Номер опубликования: 3601202212300001
Дата опубликования: 30.12.2022
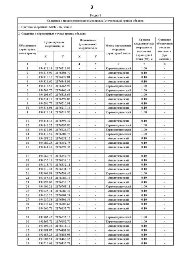
Страница №147 из 155:
Увеличить