Официальное опубликование правовых актов
ОФИЦИАЛЬНОЕ ОПУБЛИКОВАНИЕ
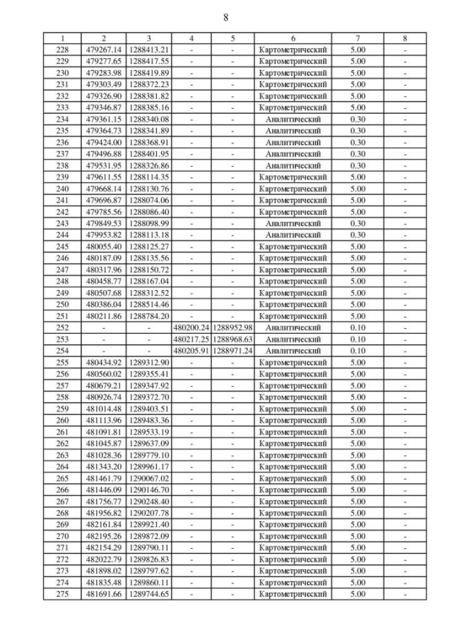
Приказ Департамента архитектуры и градостроительства Воронежской области от 12.12.2022 № 45-01-04/1230
"О внесении изменений в правила землепользования и застройки Костёнского сельского поселения Хохольского муниципального района Воронежской области"
(Зарегистрирован 22.12.2022 № 2014)
Номер опубликования: 3601202212260016
Дата опубликования: 26.12.2022
Страница №17 из 37:
Увеличить