Официальное опубликование правовых актов
ОФИЦИАЛЬНОЕ ОПУБЛИКОВАНИЕ
Приказ Департамента архитектуры и градостроительства Воронежской области от 13.12.2022 № 45-01-04/1233
"О внесении изменений в правила землепользования и застройки Октябрьского сельского поселения Бобровского муниципального района Воронежской области"
(Зарегистрирован 22.12.2022 № 2023)
Номер опубликования: 3601202212260013
Дата опубликования: 26.12.2022
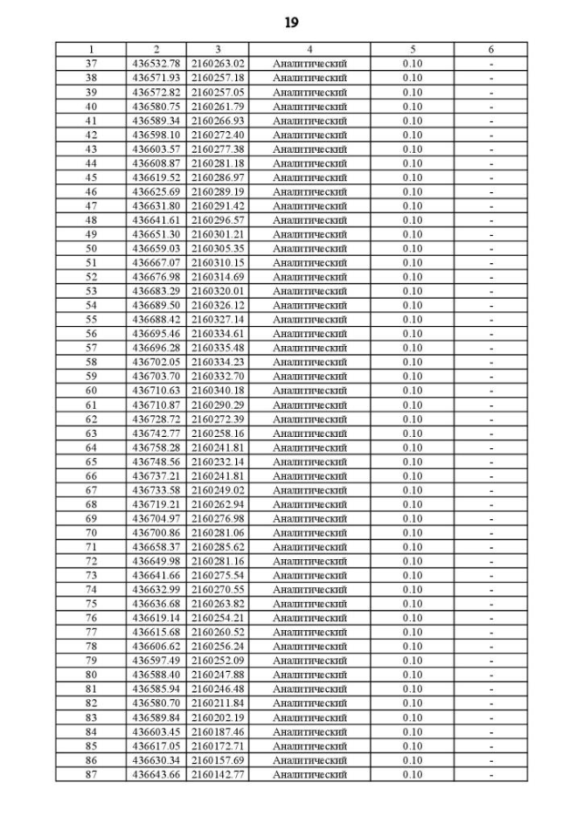
Страница №105 из 159:
Увеличить