Официальное опубликование правовых актов
ОФИЦИАЛЬНОЕ ОПУБЛИКОВАНИЕ
Приказ Департамента архитектуры и градостроительства Воронежской области от 14.12.2022 № 45-01-04/1237
"О внесении изменений в правила землепользования и застройки Воленского сельского поселения Новоусманского муниципального района Воронежской области"
(Зарегистрирован 22.12.2022 № 2015)
Номер опубликования: 3601202212260008
Дата опубликования: 26.12.2022
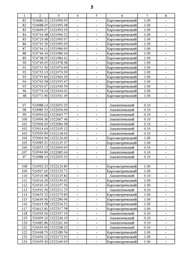
Страница №11 из 41:
Увеличить