Официальное опубликование правовых актов
ОФИЦИАЛЬНОЕ ОПУБЛИКОВАНИЕ
Приказ Департамента архитектуры и градостроительства Воронежской области от 01.12.2022 № 45-01-04/1189
"О внесении изменений в правила землепользования и застройки Кривополянского сельского поселения Острогожского муниципального района Воронежской области"
(Зарегистрирован 07.12.2022 № 1941)
Номер опубликования: 3601202212080001
Дата опубликования: 08.12.2022
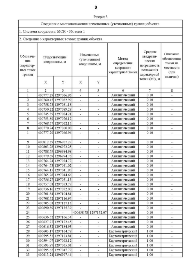
Страница №11 из 13:
Увеличить