Официальное опубликование правовых актов
ОФИЦИАЛЬНОЕ ОПУБЛИКОВАНИЕ
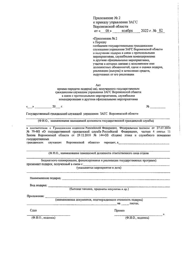
Приказ управления записи актов гражданского состояния (ЗАГС) Воронежской области от 09.11.2022 № 82
"О внесении изменений в некоторые приказы управления ЗАГС Воронежской области"
(Зарегистрирован 24.11.2022 № 1868)
Номер опубликования: 3601202211250009
Дата опубликования: 25.11.2022
Страница №11 из 14:
Увеличить