Официальное опубликование правовых актов
ОФИЦИАЛЬНОЕ ОПУБЛИКОВАНИЕ
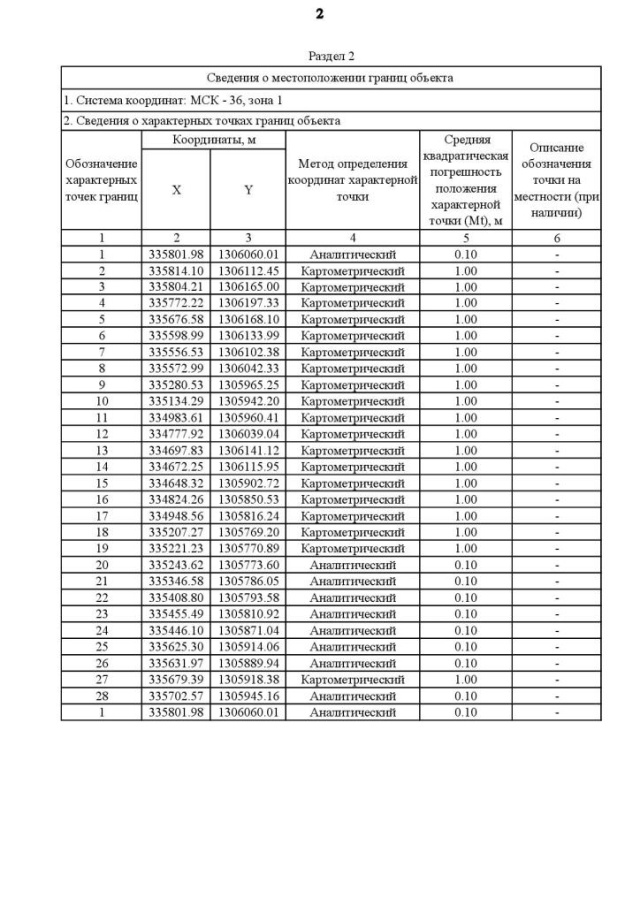
Приказ Департамента архитектуры и градостроительства Воронежской области от 09.11.2022 № 45-01-04/1135
"О внесении изменений в правила землепользования и застройки Шекаловского сельского поселения Россошанского муниципального района Воронежской области"
(Зарегистрирован 15.11.2022 № 1199)
Номер опубликования: 3601202211240010
Дата опубликования: 24.11.2022
Страница №22 из 25:
Увеличить