Официальное опубликование правовых актов
ОФИЦИАЛЬНОЕ ОПУБЛИКОВАНИЕ
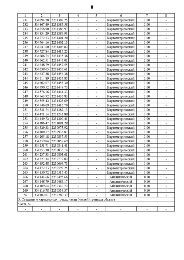
Приказ Департамента архитектуры и градостроительства Воронежской области от 09.11.2022 № 45-01-04/1137
"О внесении изменений в правила землепользования и застройки Краснофлотского сельского поселения Петропавловского муниципального района Воронежской области"
(Зарегистрирован 15.11.2022 № 1196)
Номер опубликования: 3601202211240008
Дата опубликования: 24.11.2022
Страница №17 из 29:
Увеличить