Официальное опубликование правовых актов
ОФИЦИАЛЬНОЕ ОПУБЛИКОВАНИЕ
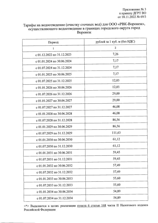
Приказ Департамента государственного регулирования тарифов Воронежской области от 18.11.2022 № 69/3
"Об установлении долгосрочных параметров регулирования деятельности и тарифов на водоотведение (очистку сточных вод) для общества с ограниченной ответственностью "РВК-Воронеж", осуществляющего водоотведение в границах городского округа город Воронеж, на период 2023-2034 годов"
(Зарегистрирован 20.11.2022 № 1760)
Номер опубликования: 3601202211220152
Дата опубликования: 22.11.2022
Страница №11 из 12:
Увеличить