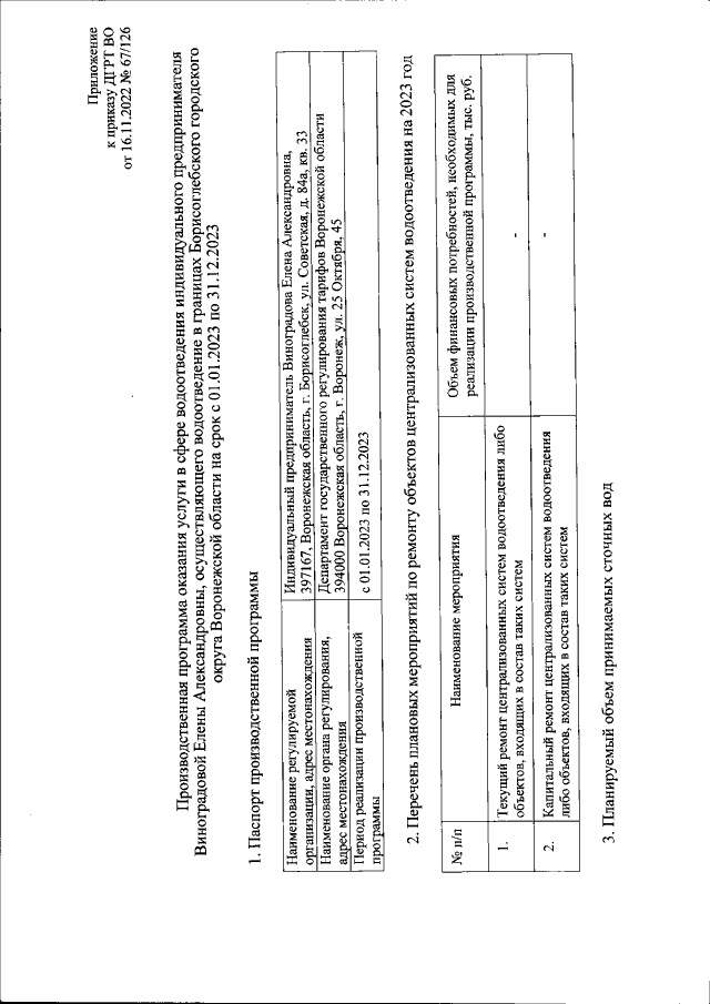
Приказ Департамента государственного регулирования тарифов Воронежской области от 16.11.2022 № 67/126
"Об установлении тарифа на транспортировку сточных вод для индивидуального предпринимателя Виноградовой Елены Александровны, осуществляющего водоотведение в границах Борисоглебского городского округа Воронежской области, на 2023 год"
(Зарегистрирован 18.11.2022 № 1256)
"Об установлении тарифа на транспортировку сточных вод для индивидуального предпринимателя Виноградовой Елены Александровны, осуществляющего водоотведение в границах Борисоглебского городского округа Воронежской области, на 2023 год"
(Зарегистрирован 18.11.2022 № 1256)
Номер опубликования: 3601202211210066
Дата опубликования:
21.11.2022
