Официальное опубликование правовых актов
ОФИЦИАЛЬНОЕ ОПУБЛИКОВАНИЕ
Приказ Департамента архитектуры и градостроительства Воронежской области от 26.10.2022 № 45-01-04/1064
"О внесении изменений в правила землепользования и застройки городского поселения – город Новохопёрск Новохопёрского муниципального района Воронежской области"
(Зарегистрирован 03.11.2022 № 1157)
Номер опубликования: 3601202211080004
Дата опубликования: 08.11.2022
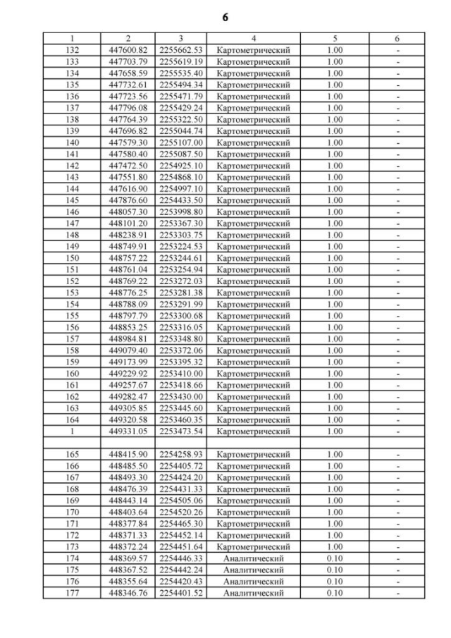
Страница №232 из 699:
Увеличить