Официальное опубликование правовых актов
ОФИЦИАЛЬНОЕ ОПУБЛИКОВАНИЕ
Приказ Департамента архитектуры и градостроительства Воронежской области от 26.10.2022 № 45-01-04/1062
"О внесении изменений в правила землепользования и застройки Добровольского сельского поселения Поворинского муниципального района Воронежской области"
(Зарегистрирован 31.10.2022 № 1133)
Номер опубликования: 3601202211030010
Дата опубликования: 03.11.2022
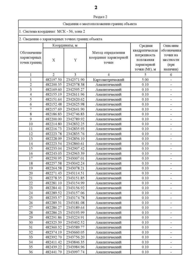
Страница №12 из 28:
Увеличить