Официальное опубликование правовых актов
ОФИЦИАЛЬНОЕ ОПУБЛИКОВАНИЕ
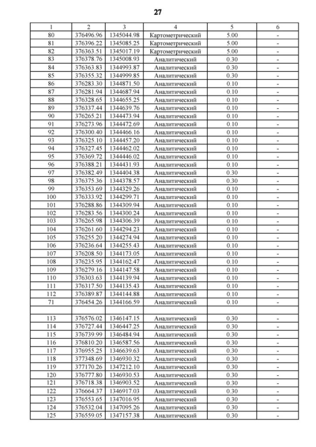
Приказ Департамента архитектуры и градостроительства Воронежской области от 17.10.2022 № 45-01-04/1039
"Об утверждении правил землепользования и застройки Сергеевского сельского поселения Подгоренского муниципального района Воронежской области"
(Зарегистрирован 27.10.2022 № 1116)
Номер опубликования: 3601202210310005
Дата опубликования: 31.10.2022
Страница №210 из 213:
Увеличить