Официальное опубликование правовых актов
ОФИЦИАЛЬНОЕ ОПУБЛИКОВАНИЕ
Приказ Департамента архитектуры и градостроительства Воронежской области от 10.10.2022 № 45-01-04/1014
"Об утверждении правил землепользования и застройки Петровского сельского поселения Павловского муниципального района Воронежской области"
(Зарегистрирован 24.10.2022 № 1090)
Номер опубликования: 3601202210250015
Дата опубликования: 25.10.2022
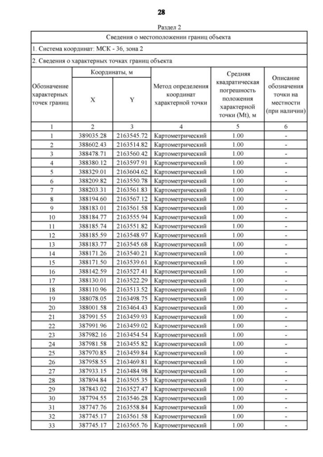
Страница №72 из 230:
Увеличить