Официальное опубликование правовых актов
ОФИЦИАЛЬНОЕ ОПУБЛИКОВАНИЕ
Приказ Департамента архитектуры и градостроительства Воронежской области от 14.10.2022 № 45-01-04/1020
"О внесении изменений в правила землепользования и застройки Старохворостанского сельского поселения Лискинского муниципального района Воронежской области"
(Зарегистрирован 24.10.2022 № 1091)
Номер опубликования: 3601202210250001
Дата опубликования: 25.10.2022
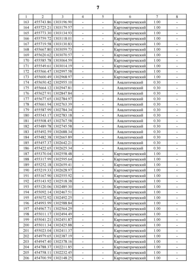
Страница №42 из 97:
Увеличить