Официальное опубликование правовых актов
ОФИЦИАЛЬНОЕ ОПУБЛИКОВАНИЕ
Приказ Департамента архитектуры и градостроительства Воронежской области от 22.08.2022 № 45-01-04/864
"О внесении изменений в правила землепользования и застройки Скляевского сельского поселения Рамонского муниципального района Воронежской области"
(Зарегистрирован 06.09.2022 № 924)
Номер опубликования: 3601202209090013
Дата опубликования: 09.09.2022
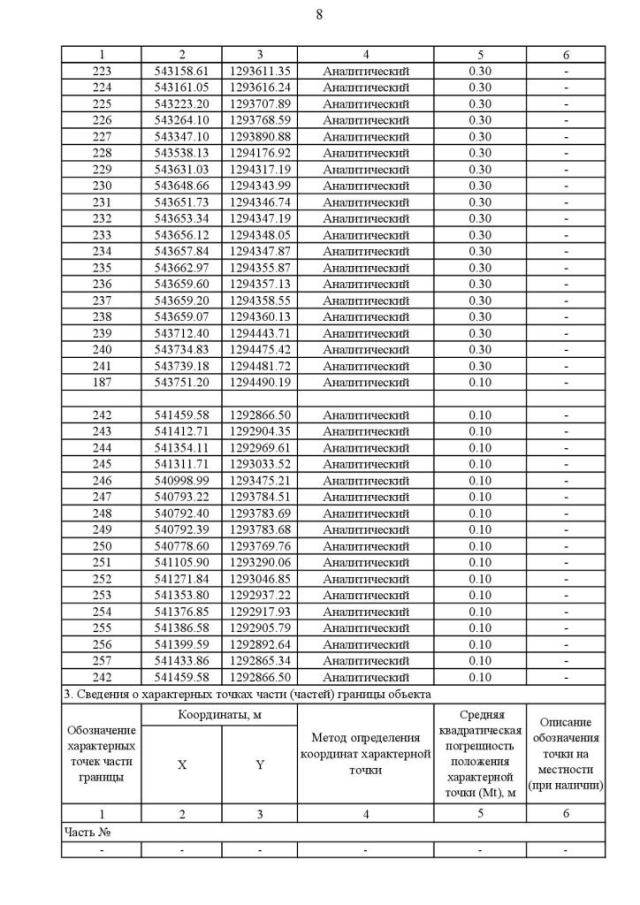
Страница №152 из 186:
Увеличить