Официальное опубликование правовых актов
ОФИЦИАЛЬНОЕ ОПУБЛИКОВАНИЕ
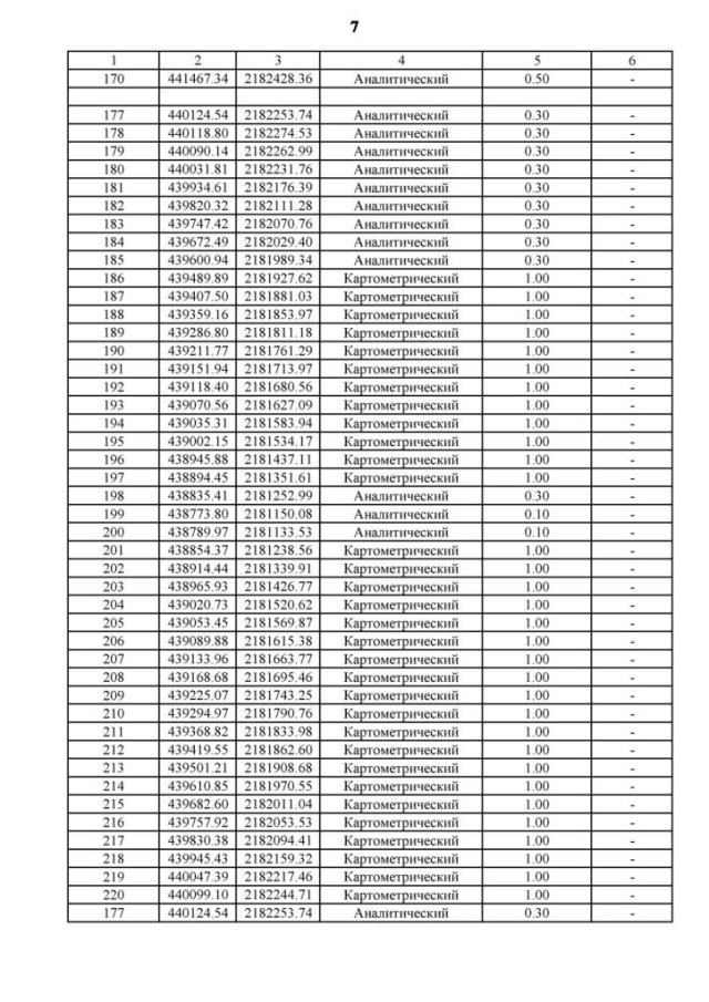
Приказ Департамента архитектуры и градостроительства Воронежской области от 10.08.2022 № 45-01-04/840
"О внесении изменений в правила землепользования и застройки Орловского сельского поселения Таловского муниципального района Воронежской области"
(Зарегистрирован 30.08.2022 № 900)
Номер опубликования: 3601202208310003
Дата опубликования: 31.08.2022
Страница №146 из 157:
Увеличить