Официальное опубликование правовых актов
ОФИЦИАЛЬНОЕ ОПУБЛИКОВАНИЕ
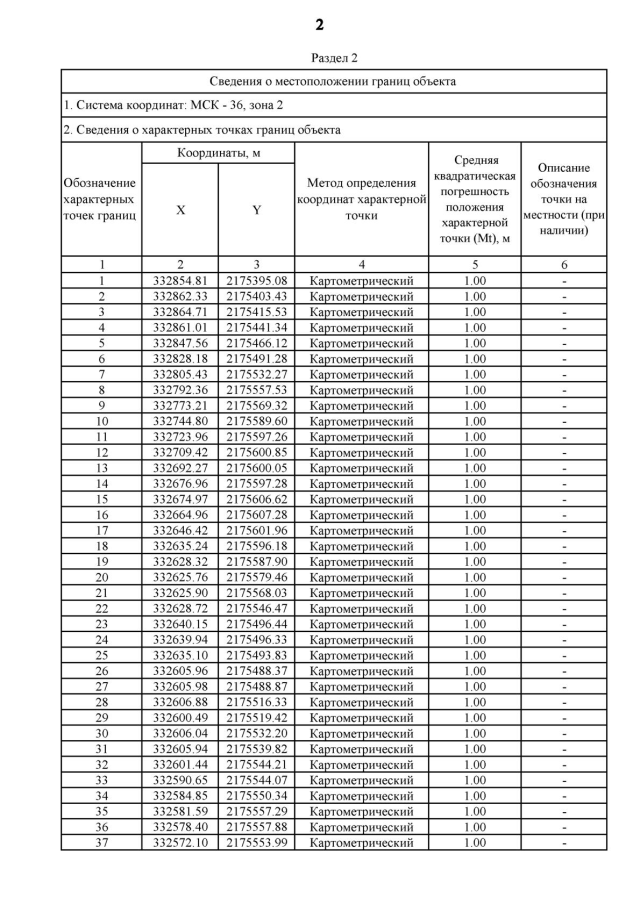
Приказ Департамента архитектуры и градостроительства Воронежской области от 12.08.2022 № 45-01-04/851
"О внесении изменений в правила землепользования и застройки Филоновского сельского поселения Богучарского муниципального района Воронежской области"
(Зарегистрирован 26.08.2022 № 894)
Номер опубликования: 3601202208300003
Дата опубликования: 30.08.2022
Страница №37 из 88:
Увеличить