Официальное опубликование правовых актов
ОФИЦИАЛЬНОЕ ОПУБЛИКОВАНИЕ
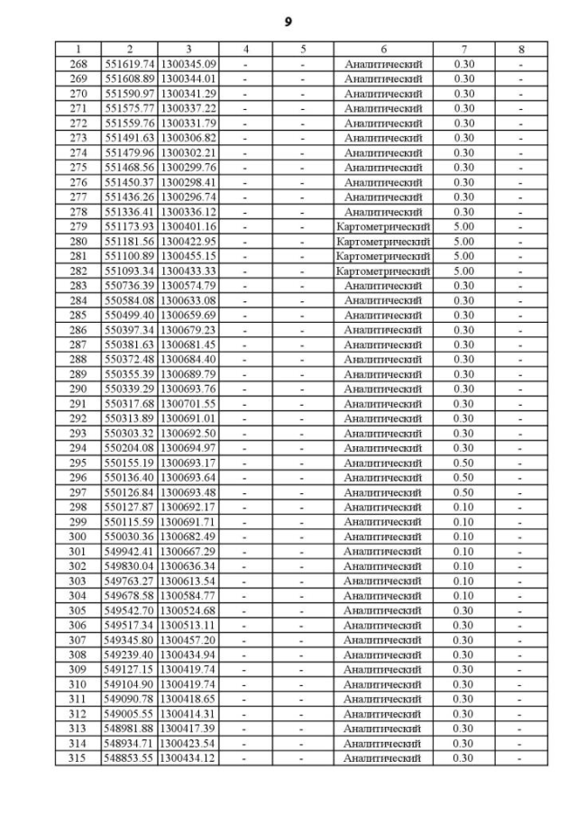
Приказ Департамента архитектуры и градостроительства Воронежской области от 08.08.2022 № 45-01-04/828
"О внесении изменений в правила землепользования и застройки Комсомольского сельского поселения Рамонского муниципального района Воронежской области"
(Зарегистрирован 16.08.2022 № 858)
Номер опубликования: 3601202208170005
Дата опубликования: 17.08.2022
Страница №50 из 73:
Увеличить