Официальное опубликование правовых актов
ОФИЦИАЛЬНОЕ ОПУБЛИКОВАНИЕ
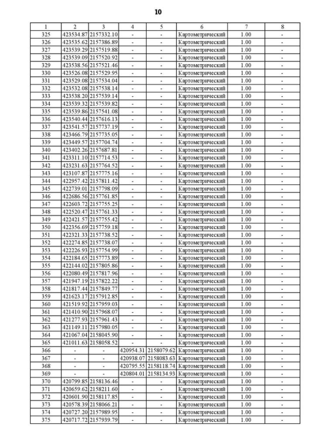
Приказ Департамента архитектуры и градостроительства Воронежской области от 08.08.2022 № 45-01-04/832
"О внесении изменений в правила землепользования и застройки Нижнекисляйского городского поселения Бутурлиновского муниципального района Воронежской области"
(Зарегистрирован 16.08.2022 № 860)
Номер опубликования: 3601202208170001
Дата опубликования: 17.08.2022
Страница №20 из 44:
Увеличить