Официальное опубликование правовых актов
ОФИЦИАЛЬНОЕ ОПУБЛИКОВАНИЕ
Приказ Департамента архитектуры и градостроительства Воронежской области от 04.08.2022 № 45-01-04/807
"О внесении изменений в правила землепользования и застройки Криушанского сельского поселения Панинского муниципального района Воронежской области"
(Зарегистрирован 08.08.2022 № 836)
Номер опубликования: 3601202208120006
Дата опубликования: 12.08.2022
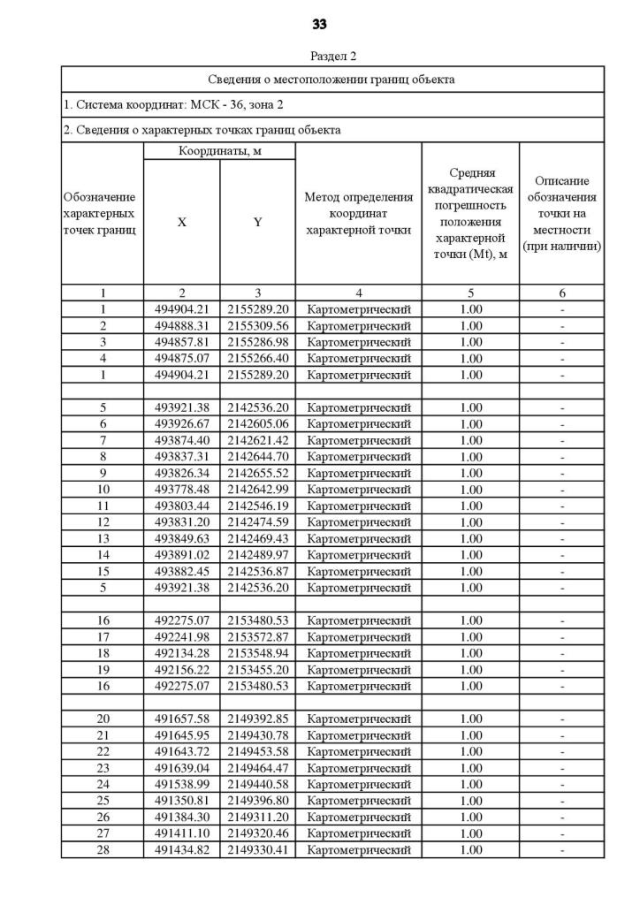
Страница №269 из 281:
Увеличить