Официальное опубликование правовых актов
ОФИЦИАЛЬНОЕ ОПУБЛИКОВАНИЕ
Приказ Департамента архитектуры и градостроительства Воронежской области от 29.07.2022 № 45-01-04/785
"О внесении изменений в правила землепользования и застройки Малосамовецкого сельского поселения Верхнехавского муниципального района Воронежской области"
(Зарегистрирован 08.08.2022 № 827)
Номер опубликования: 3601202208110013
Дата опубликования: 11.08.2022
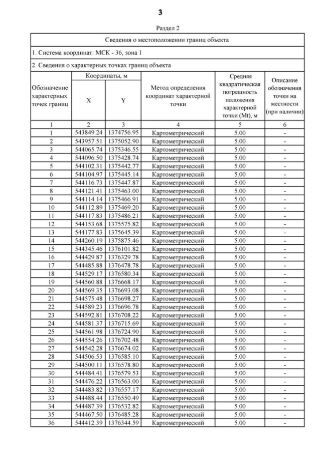
Страница №55 из 62:
Увеличить