Официальное опубликование правовых актов
ОФИЦИАЛЬНОЕ ОПУБЛИКОВАНИЕ
Приказ Департамента архитектуры и градостроительства Воронежской области от 01.08.2022 № 45-01-04/798
"О внесении изменений в правила землепользования и застройки Бугаевского сельского поселения Кантемировского муниципального района Воронежской области"
(Зарегистрирован 08.08.2022 № 828)
Номер опубликования: 3601202208110012
Дата опубликования: 11.08.2022
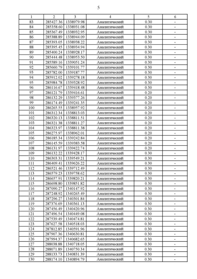
Страница №149 из 159:
Увеличить