Официальное опубликование правовых актов
ОФИЦИАЛЬНОЕ ОПУБЛИКОВАНИЕ
Приказ Департамента архитектуры и градостроительства Воронежской области от 29.07.2022 № 45-01-04/787
"О внесении изменений в правила землепользования и застройки Островского сельского поселения Аннинского муниципального района Воронежской области"
(Зарегистрирован 08.08.2022 № 832)
Номер опубликования: 3601202208110008
Дата опубликования: 11.08.2022
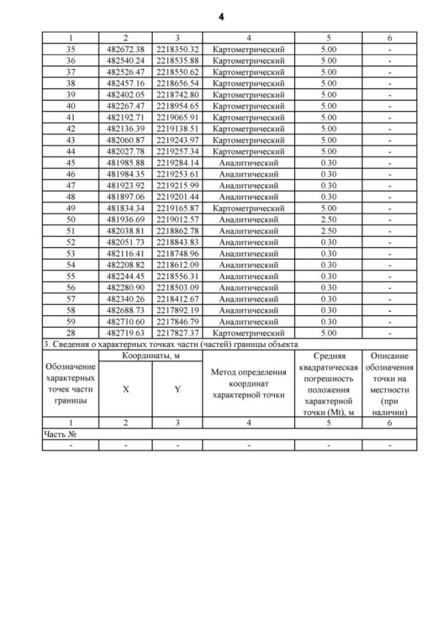
Страница №88 из 134:
Увеличить